Loading...

Test Bank for Health Assessment in Nursing 7th Edition by Janet R Weber & Jane H Kelley ISBN 9781975172572 | 34 Chapters

0

Course:
Health Assessment

Institution:
Health Assessment

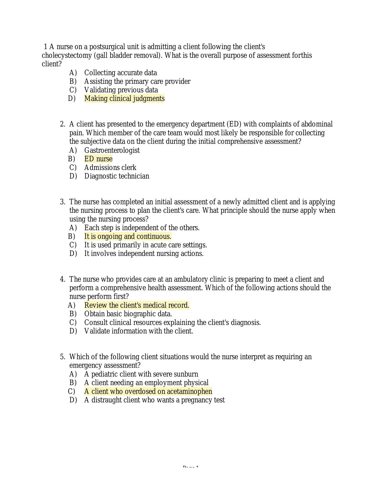
Test Bank for Health Assessment in Nursing 7th Edition by Janet R Weber & Jane H Kelley ISBN 9781975172572 | 34 Chapters 1 A nurse on a postsurgical unit is admitting a client following the client's cholecystectomy (gall bladder removal). What is the...

Preview (2 out of 262 pages)

Test Bank for Health Assessment in Nursing 7th Edition by Janet R Weber & Jane H Kelley ISBN 9781975172572 | 34 Chapters Test Bank for Health Assessment in Nursing 7th Edition by Janet R Weber & Jane H Kelley ISBN 9781975172572 | 34 Chapters

After purchase, you get:

✅ Instant PDF Download
✅ Verified answer explanations
✅ Refund if not Satisfied
✅ Prepared for 2025/2026 test cycle

Overview

Breakdown notes throughout the content provide additional context to support complex reasoning. These helpful asides offer deeper insight into why certain approaches work better than others. The extra context often makes challenging concepts click in ways that simplified explanations can't achieve. Many learners find these notes provide exactly the missing piece they needed to fully understand difficult topics.

Who Is This For?

Ideal for students, instructors and professionals preparing for Bank for Health Assessment in Nursing 7th Edition by Janet R Weber & Jane H Kelley ISBN 9781975172572 | 34 Chapters and related Health Assessment exams. Many learners find this format helps them identify knowledge gaps quickly. The material works well for both individual study and classroom settings. Perfect for busy learners seeking an streamlined, exam-focused study aid in Health Assessment. Many working professionals find it fits well into their hectic schedules. The focused content helps maximize study sessions, even when time is limited.

Related Keywords

Bank for Health Assessment in Nursing 7th Edition by Janet R Weber & Jane H Kelley ISBN 9781975172572 | 34 Chapters exam Bank for Health Assessment in Nursing 7th Edition by Janet R Weber & Jane H Kelley ISBN 9781975172572 | 34 Chapters test bank Bank for Health Assessment in Nursing 7th Edition by Janet R Weber & Jane H Kelley ISBN 9781975172572 | 34 Chapters answers Testbank exam Bank for Health Assessment in Nursing 7th Edition by Janet R Weber & Jane H Kelley ISBN 9781975172572 | 34 Chapters practice questions Test Bank for Health Assessment in Nursing 7th Edition by Janet R Weber & Jane H Kelley ISBN 9781975172572 | 34 Chapters Bank for Health Assessment in Nursing 7th Edition by Janet R Weber & Jane H Kelley ISBN 9781975172572 | 34 Chapters PDF download Bank for Health Assessment in Nursing 7th Edition by Janet R Weber & Jane H Kelley ISBN 9781975172572 | 34 Chapters questions Bank for Health Assessment in Nursing 7th Edition by Janet R Weber & Jane H Kelley ISBN 9781975172572 | 34 Chapters exam prep Health Assessment practice Bank for Health Assessment in Nursing 7th Edition by Janet R Weber & Jane H Kelley ISBN 9781975172572 | 34 Chapters Bank for Health Assessment in Nursing 7th Edition by Janet R Weber & Jane H Kelley ISBN 9781975172572 | 34 Chapters study guide Bank for Health Assessment in Nursing 7th Edition by Janet R Weber & Jane H Kelley ISBN 9781975172572 | 34 Chapters review Bank for Health Assessment in Nursing 7th Edition by Janet R Weber & Jane H Kelley ISBN 9781975172572 | 34 Chapters preparation

Detailed Study Description

The scenarios included in Test Bank for Health Assessment in Nursing 7th Edition by Janet R Weber & Jane H Kelley ISBN 9781975172572 | 34 Chapters encourage critical thinking and reinforce practical application of Health Assessment principles. Rather than just memorizing facts, you'll practice applying knowledge in realistic situations. This approach transforms abstract concepts into tangible skills you can actually use. Students often notice they're better able to recall information during exams because they've practiced using it in context. Learners will find guidance on common pitfalls and frequently misunderstood concepts within the subject area. These insights help you avoid mistakes that trip up many test-takers. It's like having an experienced mentor warning you about potential trouble spots before you encounter them. Students appreciate learning from others' mistakes rather than having to make all the errors themselves. Learners benefit from breakdowns that simplify challenging concepts without oversimplifying fundamental exam detail. The explanations strike that perfect balance between accessibility and depth. Complex topics become understandable without losing the nuances that matter for exam success. Students often have "lightbulb moments" with material that previously seemed confusing or overwhelming. Multi-step reasoning questions challenge students to synthesize information instead of relying on surface familiarity. These complex items prepare you for the most demanding questions you'll encounter on exams. Working through multi-step problems builds mental flexibility and improves your ability to connect different concepts. Many learners find these challenging exercises are where they make the most significant growth. Each section reinforces exam-critical habits such as pattern recognition, prioritization, and elimination strategy. These skills become second nature with consistent practice, making you a more productive test-taker. Students often notice they're working more quickly and accurately as these habits become automatic. The strategic approach complements your content knowledge to create all-inclusive exam readiness. What you'll learn: • • Master the core concepts and principles that form the foundation of Health Assessment examinations • • Build confidence through repeated practice with questions that mirror the difficulty and format of real assessments • • Learn to recognize common question patterns and avoid typical mistakes that cost other candidates valuable points Every section of Test Bank for Health Assessment in Nursing 7th Edition by Janet R Weber & Jane H Kelley ISBN 9781975172572 | 34 Chapters is designed to reinforce exam habits that lead to stronger performance and improved scores. The material doesn't just teach you what to know but how to think during high-pressure testing situations. You'll develop time management strategies and question-analysis skills that serve you well beyond the exam itself. These transferable abilities make the investment in quality preparation pay dividends long after test day.

Frequently Asked Questions

With 262+ pages of carefully organized questions and explanations, you'll have comprehensive coverage of the topics most likely to appear on your exam.

You'll receive instant access to download the PDF file, which you can save to your computer, tablet, or phone for studying anytime, anywhere.

Yes, many students find these materials work wonderfully for study groups, classroom instruction, or tutoring sessions focused on Health Assessment exam preparation.
Document Information
Uploaded on: November 1, 2025
Last updated: November 17, 2025
Number of pages: 262
Written in: 2025/2026
Type: Exam (elaborations)
Contains: Questions & Answers
Tags: Test Bank for Health Assessment in Nursing 7th Edition by Janet R Weber & Jane H Kelley ISBN 9781975172572 | 34 Chapters 1 A nurse on a postsurgical unit is admitting a client following the client's cholecystectomy (gall bladder removal). What is the overall purpose of assessment forthis client? A) Collecting accurate data B) Assisting the primary care provider C) Validating previous data D) Making clinical judgments 2. A client has presented to the emergency department (ED) with complaints of abdominal pain. Which member of the care team would most likely be responsible for collecting the subjective data on the client during the initial comprehensive assessment? A) Gastroenterologist B) ED nurse C) Admissions clerk D) Diagnostic technician 3. The nurse has completed an initial assessment of a newly admitted client and is applying the nursing process to plan the client's care. What principle should the nurse apply when using the nursing process? A) Each step is independent of the others. B) It is ongoing and continuous. C) It is used primarily in acute care settings. D) It involves independent nursing actions. 4. The nurse who provides care at an ambulatory clinic is preparing to meet a client and perform a comprehensive health assessment. Which of the following actions should the nurse perform first? A) Review the client's medical record. B) Obtain basic biographic data. C) Consult clinical resources explaining the client's diagnosis. D) Validate information with the client. 5. Which of the following client situations would the nurse interpret as requiring an emergency assessment? A) A pediatric client with severe sunburn B) A client needing an employment physical C) A client who overdosed on acetaminophen D) A distraught client who wants a pregnancy tes
Seller Information
Profile

AdelineJean

User Reviews (0)

Inside The Document

Test Bank for Health Assessment in Nursing 7th Edition by Janet R Weber and Jane H Kelley | Chapters 1-34 Latest Update 2024/2025 Page 1 1 A nurse on a postsurgical unit is admitting a client following the client's cholecystectomy (gall bladder removal). What is the overall purpose of assessment for this client? A) Collecting accurate data B) Assisting the primary care provider C) Validating previous data D) Making clinical judgments 2. A client has presented to the emergency department (ED) with complaints of abdominal pain. Which member of the care team would most likely be responsible for collecting the subjective data on the client during the initial comprehensive assessment? A) Gastroenterologist B) ED nurse C) Admissions clerk D) Diagnostic technician 3. The nurse has completed an initial assessment of a newly admitted client and is applying the nursing process to plan the client's care. What principle should the nurse apply when using the nursing process? A) Each step is independent of the others. B) It is ongoing and continuous. C) It is used primarily in acute care settings. D) It involves independent nursing actions. 4. The nurse who provides care at an ambulatory clinic is preparing to meet a client and perform a comprehensive health assessment. Which of the following actions should the nurse perform first? A) Review the client's medical record. B) Obtain basic biographic data. C) Consult clinical resources explaining the client's diagnosis. D) Validate information with the client. 5. Which of the following client situations would the nurse interpret as requiring an emergency assessment? A) A pediatric client with severe sunburn B) A client needing an employment physical C) A client who overdosed on acetaminophen D) A distraught client who wants a pregnancy test Page 1 6. In response to a client's query, the nurse is explaining the differences between the physician's medical exam and the comprehensive health assessment performed by the nurse. The nurse should describe the fact that the nursing assessment focuses on which aspect of the client's situation? A) Current physiologic status B) Effect of health on functional status C) Past medical history D) Motivation for adherence to treatment 7. After teaching a group of students about the phases of the nursing process, the instructor determines that the teaching was successful when the students identify which phase as being foundational to all other phases? A) Assessment B) Planning C) Implementation D) Evaluation 8. The nurse has completed the comprehensive health assessment of a client who has been admitted for the treatment of community-acquired pneumonia. Following the completion of this assessment, the nurse periodically performs a partial assessment primarily for which reason? A) Reassess previously detected problems B) Provide information for the client's record C) Address areas previously omitted D) Determine the need for crisis intervention 9. The nurse is working in an ambulatory care clinic that is located in a busy, inner-city neighborhood. Which client would the nurse determine to be in most need of an emergency assessment? A) A 14-year-old girl who is crying because she thinks she is pregnant B) A 45-year-old man with chest pain and diaphoresis for 1 hour C) A 3-year-old child with fever, rash, and sore throat D) A 20-year-old man with a 3-inch shallow laceration on his leg Page 1 10. A nurse has completed gathering some basic data about a client who has multiple health problems that stem from heavy alcohol use. The nurse has then reflected on her personal feelings about the client and his circumstances. The nurse does this primarily to accomplish which of the following? A) Determine if pertinent data has been omitted B) Identify the need for referral C) Avoid biases and judgments D) Construct a plan of care 11. The nurse is collecting data from a client who has recently been diagnosed with type 1 diabetes and who will begin an educational program. The nurse is collecting subjective and objective data. Which of the following would the nurse categorize as objective data? A) Family history B) Occupation C) Appearance D) History of present health concern 12. An older adult client has been admitted to the hospital with failure to thrive resulting from complications of diabetes. Which of the following would the nurse implement in response to a collaborative problem? A) Encourage the client to increase oral fluid intake. B) Provide the client with a bedtime protein snack. C) Assist the client with personal hygiene. D) Measure the client's blood glucose four times daily. 13. The nurse at a busy primary care clinic is analyzing the data obtained from the following clients. For which clients would the nurse most likely expect to facilitate a referral? A) An 80-year-old client who lives with her daughter B) A 50-year-old client newly diagnosed with diabetes C) An adult presenting for an influenza vaccination D) A teenager seeking information about contraception 14. An instructor is reviewing the evolution of the nurse's role in health assessment. The instructor determines that the teaching was successful when the students identify which of the following as the major method used by nurses early in the history of the profession? A) Natural senses B) Biomedical knowledge C) Simple technology D) Critical pathways Page 3 .

CourseHero & Studypool Unlocks

Get Unlocked CourseHero and Studypool documents files instantly to your email, simply by pasting your link and clicking "Unlock Now". Learn more on how to unlock here.

4.3.4 Project: Improving Your ...

4.1.5 Practice: Personal Healt...

Part 1 Forces lab...

excel Course 1 Final Assessmen...

Course 1 Final Assessment Cou...

Charts: Test your skills LATES...

Performing Calculations: Test ...

2.1.5 Practice: Guidelines for...

AP Macro Topic 2.4 Price Indic...

Section 4B - All the methods i...

You have an Azure Storage acco...

AZ104 Renewal...

AZ-104 Renewal Exam...

Renewal assessment for Microso...

UCLA ELECTRICAL ENGINEERING DE...

Wait, here are some Recommended Documents for you based on your search!
CLEP COLLEGE MATHEMATICS ACTUAL 2025/2026 QUESTIONS AND 100% CORRECT ANSWERS
CLEP COLLEGE MATHEMATICS ACTUAL 2025/2026 QUESTIONS AND 100% CORRECT ANSWERS
View
STUDY CLEP COLLEGE MATH ACTUAL 2025/2026 QUESTIONS AND 100% VERIFIED ANSWERS
STUDY CLEP COLLEGE MATH ACTUAL 2025/2026 QUESTIONS AND 100% VERIFIED ANSWERS
View
COMPREHENSIVE INTRODUCTORY PSYCHOLOGY CLEP EXAM ACTUAL 2025/2026 QUESTIONS AND 100% CORRECT ANSWERS
COMPREHENSIVE INTRODUCTORY PSYCHOLOGY CLEP EXAM ACTUAL 2025/2026 QUESTIONS AND 100% CORRECT ANSWERS
View
COMPREHENSIVE CLEP COLLEGE MATH FINAL EXAM ACTUAL 2025/2026 QUESTIONS AND 100% CORRECT ANSWERS
COMPREHENSIVE CLEP COLLEGE MATH FINAL EXAM ACTUAL 2025/2026 QUESTIONS AND 100% CORRECT ANSWERS
View